سطوح مختلف برنامهریزی
- برنامه پایه
- برنامه میان-مدت
- برنامه واقعی
- آپدیت برنامه واقعی به صورت هفتگی انجام میشود
- این آپدیت برای دعاوی یا بهبود عملکرد ضروری است
- در جلسات هفتگی برنامه قبلی مرور میشود
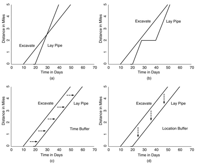
برنامه خطی

- مناسب برای عملیات تکراری
- محور افقی معادل زمان
- محور عمودی معادل فاصله یا موقعیت
- شیب خط معادل نرخ تولید یا سرعت اجرا
روشهای رفع تداخل

![]() |
![]() |
|---|---|
![]() |
![]() |



